·適應介質:礦物油、水一乙二醇或其它介質
·最大工作壓力25MPa
·雨端法蘭、組件式結構,易于制造,便于維修
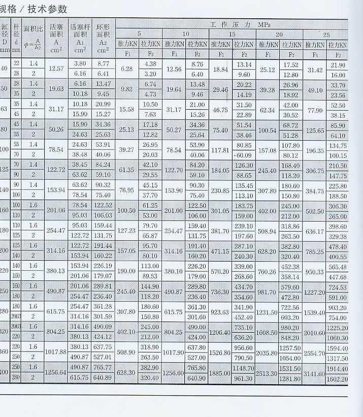
·型式規格齊全:共16個缸徑規格,各有2×8個裝配型式,組成256個品種。液壓缸為雙作用單活塞型式,有差動缸和等速缸之分,帶可調緩沖(或不帶),亦可配防護罩。
·C25、D25系列全部可配置接近開關,C25系列缸徑D=50~400(除D=40外)均可配置內置式位移傳感器。
·基本性能參數符合ISO標準的GB標準、安裝型式和尺寸符合德國鋼廠標準,與REXROTH公司的“CD250、CG250”和意大利FOSSA公司的“DINTYPE200/250”系列一致,也與英國ELRAM公司的“Series 250k”系列基本一致。國內外適應范圍廣泛,便于國際交流。
·密封件、導向件全部國產化,或按用戶要求采用進口元件。
·可根據用戶的要求,設計和制造本系列的特殊派生產品。







卓力工礦是國內知名C25、D25系列高壓重型液壓缸生產廠家,有豐富的經驗為客戶提供高品質的C25、D25系列高壓重型液壓缸及完善的售后服務,如果您想了解最新C25、D25系列高壓重型液壓缸價格或者更詳細信息,歡迎撥打服務熱線:
13280082001 18605374511.或者聯系在線客服:
點擊這里、立刻咨詢;我們攜程為您服務!
常見問題:C25、D25系列高壓重型液壓缸發貨時間? C25、D25系列高壓重型液壓缸售后保障? C25、D25系列高壓重型液壓缸訂貨需要提供什么信息?
產品標簽:C25、D25系列高壓重型液壓缸|
C25差動缸|D25等速缸|液壓油缸|雙作用單活塞液壓缸
|


![[pics:title]](/uploads/allimg/161109/1-161109153521H9-lp.jpg)
